Aritra De
A dump of thought provoking projects and experiments. Basically chasing questions that bother me, and sharing the journey here.
You May Also Enjoy
Theory of Logistic Regression
less than 1 minute read
Theory of Logistic Regression
Theory of Linear Regression
less than 1 minute read
Linear Regression Theory
Revisiting Probability Theory for ML
less than 1 minute read
Probability Theory Revision
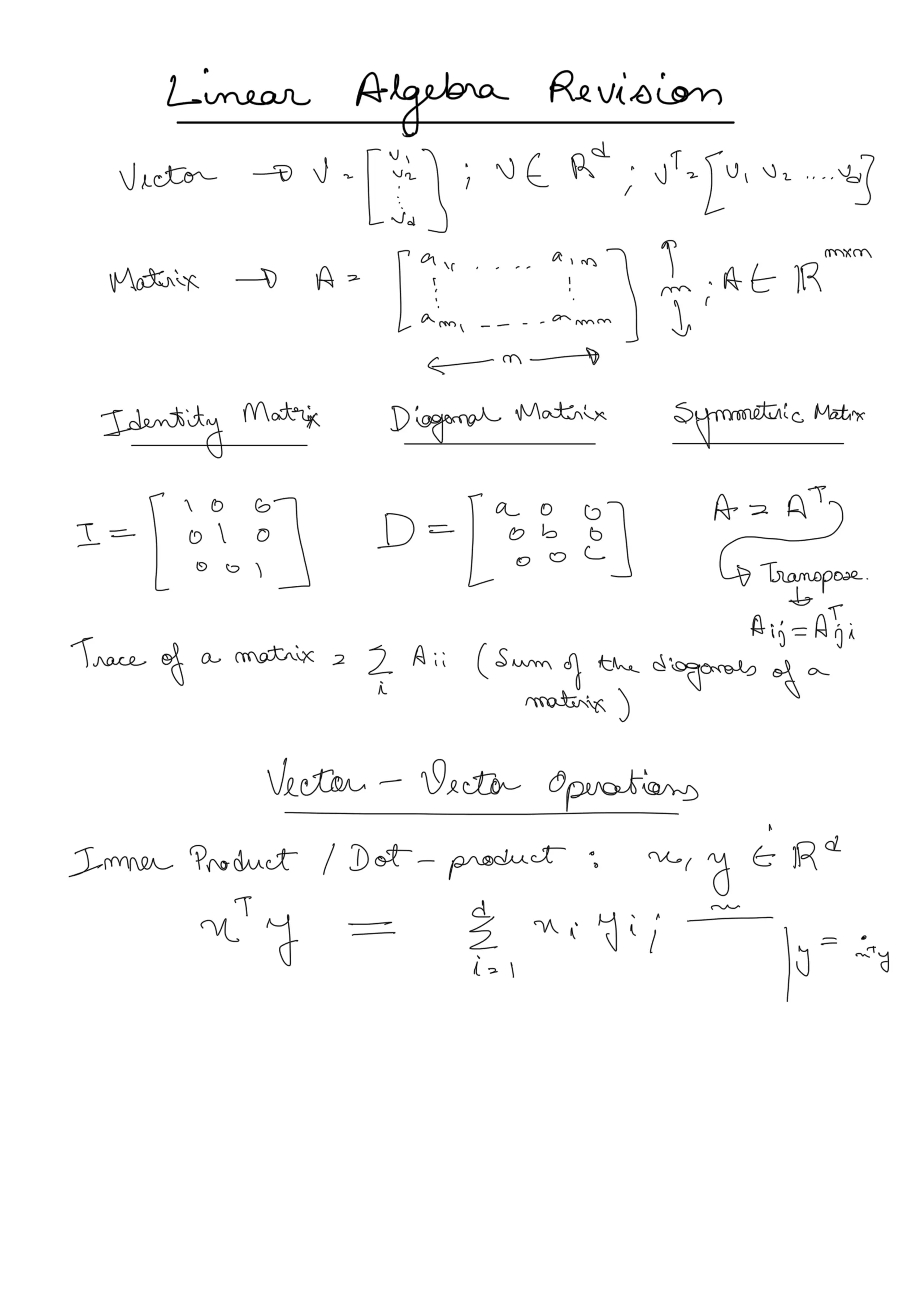
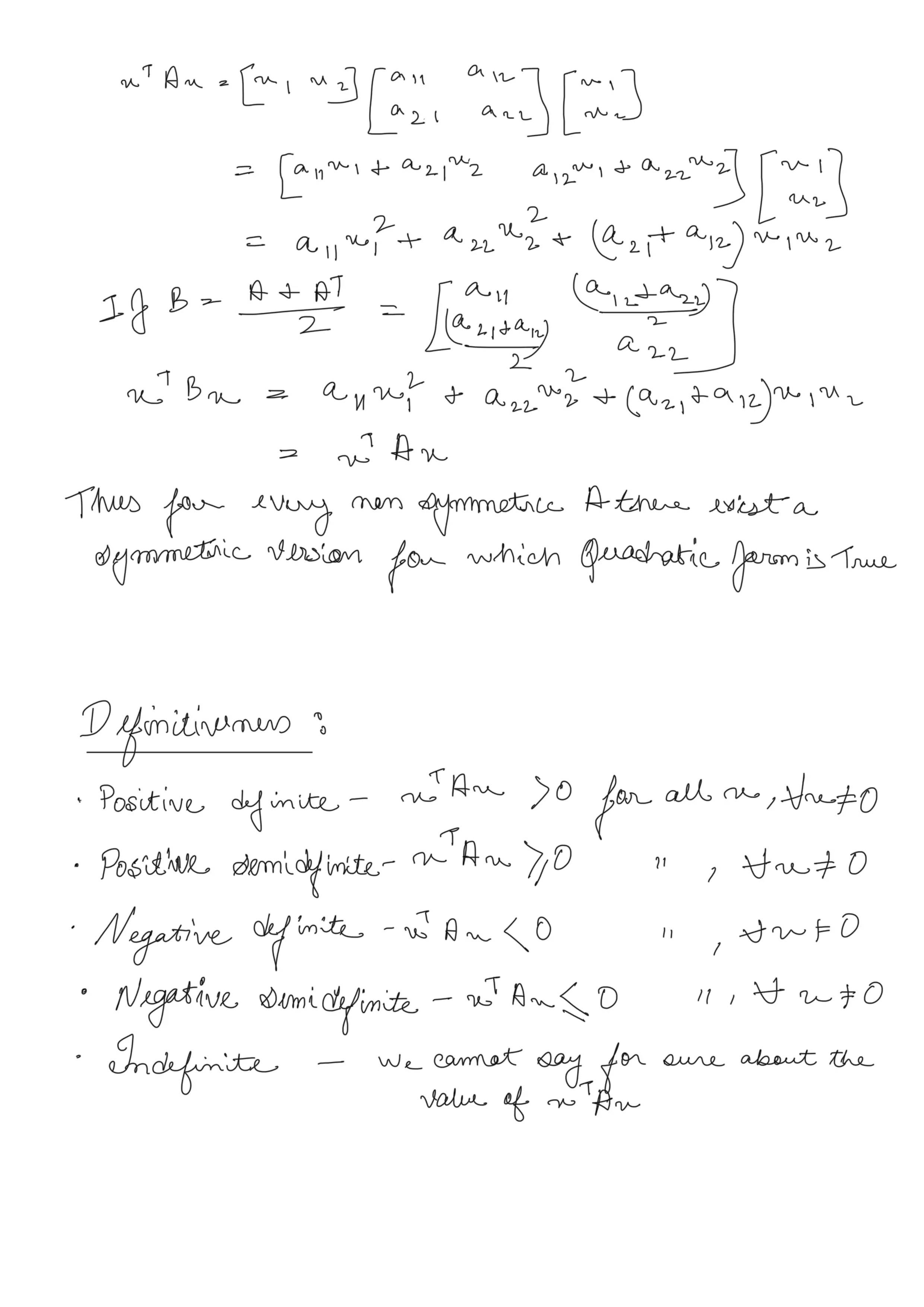
Revisiting Matrix Calculus for ML
less than 1 minute read
Matrix Calculus Revision
